Table of Contents
시스템 아키텍처는 일련의 소프트웨어 컴포넌트와 그 컴포넌트들을 분리하는 경계에 의해 정의된다. 이러한 경계는 다양한 형태로 나타난다. 여기에서는 이러한 형ㅌ태 중에서 가장 흔한 몇 가지를 살펴보려고 한다.
경계 횡단하기
‘런타임에 경계를 횡단한다’ 함은 그저 경계 한쪽에 있는 기능에서 반대편 기능을 호출하여 데이터를 전달하는 일에 불과하다. 적절한 위치에서 경계를 횡단하는 비결은 소스코드 의존성 관리에 있다.
왜 소스 코드일까? 왜냐하면 소스 코드 모듈 하나가 변경되면, 이에 의존하는 다른 소스코드 모듈도 변경하거나 다시 컴파일해야 할지도 모르기 때문이다. 경계는 이러한 변경이 전파되는 것을 막는 방화벽을 구축하고 관리하는 수단으로써 존재한다.
두려운 단일체
아키텍처 경계 중에서 가장 단순하며 가장 흔한 형태는 물리적으로 엄격하게 구분되지 않는 형태다. 함수와 데이터가 단일 프로세서에서 같은 주소 공간을 공유하며 그저 나름의 규칙에 따라 분리되어 있을 뿐이다. 이를 소스 수준 분리 모드라고 불렀다.
배포 관점에서 보면 이는 소위 단일체 라고 불리는 단일 실행 파일에 지나지 않는다. 그렇다고 해서 단일체에는 경계가 실제로 존재하지 않거나, 경계 자체가 무의미하다는 뜻은 아니다.
가장 단순한 형태의 경계 횡단은 저수준 클라이언트에서 고수준 서비스로 향하는 함수 호출이다. 이 경우 런타임 의존성과 컴파일타임 의존성은 모두 같은 방향, 즉 저수준 컴포넌트에서 고수준 컴포넌트로 향한다.

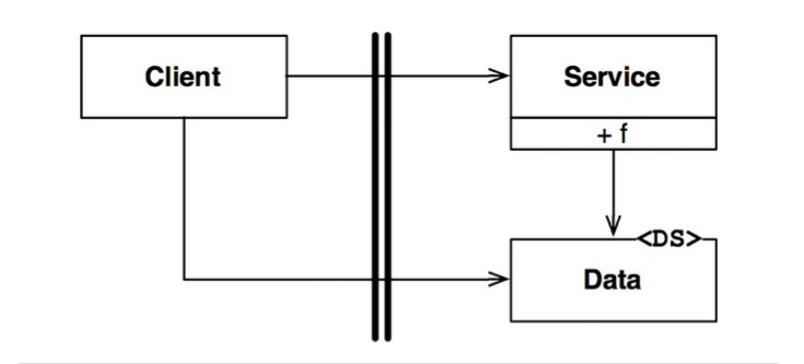
고수준 클라이언트가 저수준 서비스를 호출해야 한다면 동적 다형성을 사용하여 제어흐름과는 반대 방향으로 의존성을 역전시킬 수 있다. 이렇게 하면 런타임 의존성은 컴파일타임 의존성과는 반대가 된다. 또한 데이터 구조의 정의가 호출하는 쪽에 위치한다는 점도 주목하자.

정적 링크된 모노리틱 구조의 실행 파일이라도 이처럼 규칙적인 방식으로 구조를 분리하면 프로젝트를 개발, 테스트, 배포하는 작업에 큰 도움이 된다. 고수준 컴포넌트는 저수준 세부사항으로부터 독립적으로 유지된다.
배포형 컴포넌트
아키텍처의 경계가 물리적으로 드러날 수도 있는데 그중 가장 단순한 형태는 동적 링크 라이브러리다. 이는 배포 수준 결합 분리 모드에 해당한다. 배포 작업은 단순히 이들 배포 가능한 단위를 좀 더 편리한 형태로 묶는 일에 지나지 않는다.
배포 과정만 차이가 날 뿐, 배포 수준의 컴포넌트는 단일체와 동일하다.
스레드
단일체와 배포형 컴포넌트는 모두 스레드를 활용할 수 있다. 스레드는 아키텍처 경계도 아니며 배포 단위도 아니다. 이보다 스레드는 실행 계획과 순서를 체계화하는 방법에 가깝다. 모든 스레드가 단 하나의 컴포넌트에 포함될 수도 있고, 많은 컴포넌트에 걸쳐 분산될 수도 있다.
로컬 프로세스
로컬 프로세스를 일종의 최상위 컴포넌트라고 생각하자. 즉, 로컬 프로세스는 컴포넌트 간 의존성을 동적 다형성을 통해 관리하는 저수준 컴포넌트로 구성된다. 로컬 프로세스 간 분리 전략은 단일체나 바이너리 컴포넌트의 경우와 동일하다. 소스 코드 의존성의 화살표는 단일체나 바이너리 컴포넌트와 동일한 방향으로 경계를 횡단한다. 즉, 항상 고수준 컴포넌트를 향한다. 저수준 프로세스가 고수준 프로세스의 플러그인이 되도록 만드는 것이 아키텍처 관점의 목표라는 사실을 기억하자.
로컬 프로세스 경계를 지나는 통신에는 운영체제 호출, 데이터 마샬링 및 언마샬링, 프로세스 간 문맥 교환 등이 있으며, 이들은 제법 비싼 작업에 속한다. 따라서 통신이 너무 빈번하게 이뤄지지 않도록 신중하게 제한해야 한다.
서비스
물리적인 형태를 띠는 가장 강력한 경계는 바로 서비스다. 서비스들은 모든 통신이 네트워크를 통해 이뤄진다고 가정한다.
서비스 경계를 지나는 통신은 함수 호출에 비해 매우 느리다. 이 수준의 통신에서는 지연에 따른 문제를 고수준에서 처리할 수 있어야 한다.
이를 제외하고는 로컬 프로세스에 적용한 규칙이 서비스에도 그대로 적용된다. 저수준 서비스는 반드시 고수준 서비스에 ‘플러그인’되어야 한다. 고수준 서비스의 소스코드에는 저수준 서비스를 특정 짓는 어떤 물리적인 정보도 절대 포함해서는 안 된다.
결론
단일체를 제외한 대다수의 시스템은 한 가지 이상의 경계 전략을 사용한다. 실제로 서비스는 상호작용하는 일련의 로컬 프로세스 퍼사드에 불과할 때가 많다. 즉, 대체로 한 시스템 안에서도 통신이 빈번한 로컬 경계와 지연을 중요하게 고려해야 하는 경계가 혼합되어 있음을 의미한다.